티스토리 뷰
1766번: 문제집
첫째 줄에 문제의 수 N(1 ≤ N ≤ 32,000)과 먼저 푸는 것이 좋은 문제에 대한 정보의 개수 M(1 ≤ M ≤ 100,000)이 주어진다. 둘째 줄부터 M개의 줄에 걸쳐 두 정수의 순서쌍 A,B가 빈칸을 사이에 두고 주
www.acmicpc.net
문제는 위와 같으며, 이 문제의 경우 위상 정렬에 대해 알고있다면 쉽게 문제를 해결할 수 있습니다.
위상 정렬(Topology Sort) 란, 순서가 정해져 있는 작업을 차례로 수행해야 할 때 그 순서를 정해주기 위해 사용하는 알고리즘입니다.

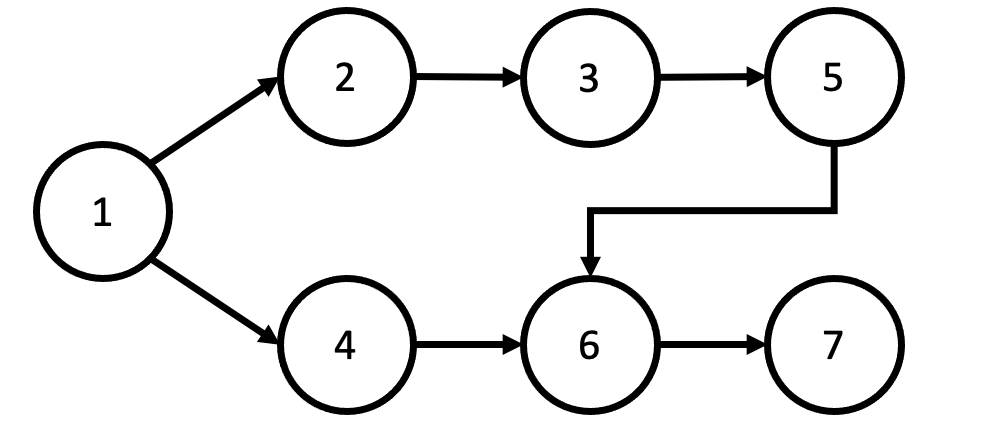
만약 위와 같은 순서대로 일이 진행되어야 한다면, 순서대로 1 -> 2 -> 3 -> 4 -> 5 -> 6 -> 7 이런 순서대로 진행을 하면 됩니다. 이 순서는 다양하게 변경될 수 있습니다. (예, 1 -> 4 -> 2 -> 3 -> 5 -> 6 -> 7 도 가능합니다.)
하지만, 이 문제의 경우 순서대로 진행되면서 더 쉬운 문제(번호가 앞인 문제)가 더 빨리 풀려야 하기 때문에 heap 을 통해 문제를 해결하였습니다.
각 노드 별로 다음 연결되는 노드의 리스트를 담을 수 있도록 생성하고, 각 노드의 진입 차수를 저장합니다.
- 연결 노드 리스트 : [[], [2, 4], [3], [5], [6], [6], [7], []]
- 진입 차수: [0, 0, 1, 1, 1, 1, 2, 1]
그런 다음 진입 차수가 0인 데이터를 heap 에 먼저 넣고 heap 이 빈 값이 될 때까지 데이터를 뽑아 결과 리스트에 저장합니다. 이때 데이터를 뽑고 나면 해당 데이터 다음으로 실행되어야 하는 노드들은 진입 차수가 하나씩 줄어들고 이 노드들 중 진입 차수가 0이 되는 노드는 다시 heap 에 추가하여 반복적으로 일을 순서대로 처리할 수 있게 하면 됩니다.
파이썬 코드는 다음과 같습니다.
from sys import stdin
import heapq
n, m = map(int, stdin.readline().split())
array = [[] for _ in range(n + 1)] # 해당 노드와 연결된 노드 담기
indegree = [0] * (n + 1) # 진입 차수
heap = []
for _ in range(m):
x, y = map(int, stdin.readline().split())
array[x].append(y) # x -> y 관계 연결
indegree[y] += 1 # y 로 들어오는 진입 차수 증가
for i in range(1, n + 1):
if indegree[i] == 0: # 진입 차수가 0인 경우 heap 에 추가
heapq.heappush(heap, i)
result = []
while heap:
data = heapq.heappop(heap)
result.append(data)
for d in array[data]: # 꺼낸 데이터와 연결된 데이터들을 돌면서
indegree[d] -= 1 # 진입 차수 줄이기
if indegree[d] == 0: # 진입 차수가 0인 경우 heap 에 추가
heapq.heappush(heap, d)
for i in result:
print(i, end=" ")
자바 코드는 다음과 같습니다.
import java.io.BufferedReader;
import java.io.InputStreamReader;
import java.util.ArrayList;
import java.util.Arrays;
import java.util.List;
import java.util.PriorityQueue;
public class Main {
public static void main(String[] args) throws Exception {
BufferedReader br = new BufferedReader(new InputStreamReader(System.in));
int[] nm = Arrays.stream(br.readLine().split(" ")).mapToInt(Integer::parseInt).toArray();
List<ArrayList<Integer>> array = new ArrayList<>();
for (int i = 0; i < nm[0] + 1; i++) {
array.add(new ArrayList<>());
}
int[] indegree = new int[nm[0] + 1];
for (int i = 0; i < nm[1]; i++) {
int[] xy = Arrays.stream(br.readLine().split(" ")).mapToInt(Integer::parseInt).toArray();
array.get(xy[0]).add(xy[1]);
indegree[xy[1]] += 1;
}
PriorityQueue<Integer> heap = new PriorityQueue<>();
for (int i = 1; i < nm[0] + 1; i++) {
if (indegree[i] == 0) {
heap.add(i);
}
}
StringBuilder result = new StringBuilder();
while (!heap.isEmpty()) {
int data = heap.poll();
result.append(data).append(" ");
for (int n : array.get(data)) {
indegree[n] -= 1;
if (indegree[n] == 0) {
heap.add(n);
}
}
}
System.out.println(result);
}
}
이 문제는 위상 정렬을 이해하고 이를 heap 으로 구현할 수 있는 것이 핵심인 문제였습니다.
'알고리즘' 카테고리의 다른 글
| [알고리즘 / 백준] 1904 - 01타일 (0) | 2020.11.25 |
|---|---|
| [알고리즘 / 백준] 9997 - 폰트 (0) | 2020.11.24 |
| [알고리즘 / 백준] 1715 - 카드 정렬하기 (0) | 2020.11.24 |
| [알고리즘 / 백준] 1927 - 최소 힙 (0) | 2020.11.24 |
| [알고리즘 / 백준] 2250 - 트리의 높이와 너비 (0) | 2020.11.23 |
- Total
- Today
- Yesterday
- cloudfront
- DFS
- ionic
- CodeDeploy
- 프로그래머스
- string
- Dynamic Programming
- ECR
- java
- SWIFT
- 조합
- CodePipeline
- 순열
- Algorithm
- 에라토스테네스의 체
- EC2
- map
- sort
- BFS
- search
- spring
- array
- CodeCommit
- AWS
- permutation
- 소수
- Baekjoon
- programmers
- Combination
- 수학
| 일 | 월 | 화 | 수 | 목 | 금 | 토 |
|---|---|---|---|---|---|---|
| 1 | 2 | |||||
| 3 | 4 | 5 | 6 | 7 | 8 | 9 |
| 10 | 11 | 12 | 13 | 14 | 15 | 16 |
| 17 | 18 | 19 | 20 | 21 | 22 | 23 |
| 24 | 25 | 26 | 27 | 28 | 29 | 30 |
| 31 |
